Document of Record of the Formation of the

Pilgrim Mennonite Conference (PMC) Archives.

Disclaimer: I, H. Stephen Ebersole, being of 65 years of age do endeavor to set forth the events that led up to the Eastern Pennsylvania Mennonite Church (EPMC) to ask the Lebanon District of that body to separate themselves and form the PMC. Inasmuch as some 28 plus years have passed since this event, I do not claim to have every event perfectly identified in my mind. I do commit myself to transparency and honesty. I often reflect back over my errors and shortcomings, and with Bro Aaron Shank do say, “There should have been a better way.” I do acknowledge my humanity in pushing for fairness when we felt oppressed, as you will see as you peruse these documents. For the sake of history, I do not want to color or bring bias into this summary of events, for the researcher himself has the privilege to stand apart from the emotions of these conflicts and make conclusions for himself.

The first historical evidence that I have of dichotomy in thinking between segments of the EPMC surfaced in early 1976. In January of 1976, The EPMC bishop board received a letter of accusations against the Lebanon district leadership by the Richland District (1a 4.76) over administrative procedures. Brother Aaron answered that letter in February (1b 4.76). Later in the same spring the cape maternity dress issue created as similar stir. In April 1976, (1 4.76) Bro Aaron presented a letter to the EPMC bishop board which bears the marks of his thinking and penmanship but is signed by the Lebanon District Bishops. It was not until about eleven years later that the church body came to common agreement on this issue as documented in (2 9.24.85). 

On January 27, 1988, Brother Aaron expressed his concerns about the periodic discipline review, especially in including the membership to be part of voting on new rules. (1.27.88 AMS letter...) 

Another letter that gives insights into the struggle of transferring memberships is from the Elm Street Ministry to the EPMC bishop board. (11.10.88 Elm...) 

On March 19, 1989 a brother wrote to Stephen expressing his concerns which he believed was involved in why Stephen was not being invited to teach at the Numidia Bible School. While that purpose is not specifically mentioned, the Bible School board is. See (2 3.19.89 Ed...) In a reply to that letter, specifically regarding musical instruments, Stephen explains his viewpoint on musical instruments and how he came to that perspective. (3 4.11.89 Steve...) 

On October 24, 1989, Stephen Ebersole preached a sermon at Shirksville, his home church that brought the behind-the-scenes conflict out into the open. The document, (4 Oct 1989) is a transcript of this sermon. Cick hereto listen to an mp3 recording of this sermon.

The first official comment on the fallout of the sermon is recorded in EPMC bishop minutes (89B15) held at White Oak on December 4, 1989. At this point a committee of four bishops, Aaron Shank, Alvin Snyder, Lynn Martin and Jesse Neuenschwander were appointed “to discuss this further with Bro Stephen and help to bring constructive influences to bear on the situation and come with a possible statement and recommendation.”

The next bishop meeting (89B16) held at Numidia on December records “A report was given of a meeting at Bro Aaron Shank’s home on December 23, 1989...” where the committee suggested “...that Bro. Stephen answer three questions to the bishops. 1. What is his view of tradition and culture? 2. What is his view of church authority? 3. How do you view your relationship to the church and particularly to this group of bishops? He answered these questions in the presence of the group.”

At a meeting (90B1) the “Concern” was looked at again in light of a church wide minister’s meeting being planned for January 24, 1990 at the Rehrersburg Meeting House where the body was planning to address the matter of divorce and remarriage. In this minute it is referred to as needing to be looked at to be brought to rest. This of course implies the reaction was continuing to spread. Jesse Neuenschwander gave a suggested apology to Steve Ebersole (6 1.24.90) and attached in this scan is the actual document that was to be read that evening. A document (21 Summary of Apolgies) explains why that apology was not read that evening.

In the next bishop meeting (90B2) held February 6, 1990, the board decided on a statement of apology, and also assigned two bishops, Alvin Snyder and Lynn Martin to share in the administration of the Lebanon district, while Stephen’s “involvement in bishop work should be limited and Bro Alvin could fill in for him”. Another bishop meeting was held on March 2, 1990 (90B3) where the issue was discussed with no resolutions made .

The Lebanon district had two concerns to register with the Bishop board. One (8 3.13.90) shares the church wide minister’s meeting ended up being in violation of the church guidelines for such a meeting. The other shared the district ministry’s reservations about the disciplines imposed by the (90B2) bishop meeting. It is obvious from the wording of both letters that Bro Aaron Shank’s influence permeated the letter. These letters were reviewed at the bishop meeting. (90B4) Sandra and Stephen were in the South giving council and communion to the Southern churches so Stephen was absent from this meeting. The conclusion was a discipline imposed on Stephen as follows:

  1. That Bro Stephen would not exercise his ministerial-bishop office for 5 months - April 1- September 1 1990
  2. After Sept 1, 1990 he will be preaching again in the district and exercise his office and after Jan. 1, 1991 he will return to normal duties if the situation is brought to a satisfactory rest.
  3. He would continue to attend bishop and mission board meetings and functions.
  4. We would endeavor to give some guidance to his thinking in the areas under question.
  5. That some associated work will could be done with Bro Stephen by other bishops involving him in personal contacts at the committee’s discretion.

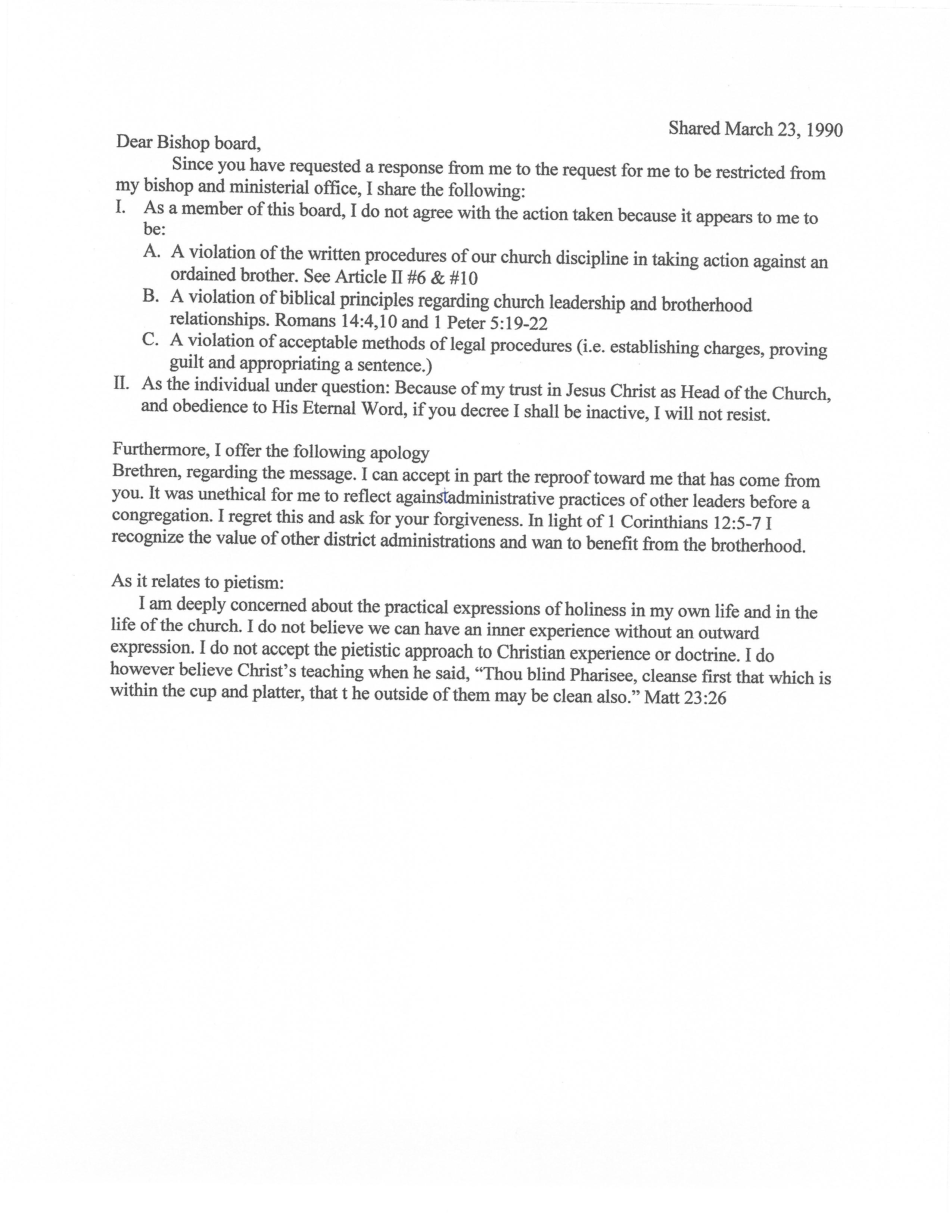
At the next bishop meeting (90B5) March 23, 1990, Brother Stephen shared an apology with the bishops (10a 3.23.90).

After having accepted the discipline and not allowing this to create a division, Bro Stephen prepared a letter with the bishops entitled, “Why the Action?” (10b 3.26.90). This was reviewed by the Lebanon District ministry at Elm Street (11a 3.27.90) just prior to a joint meeting of the bishop board and the Lebanon district. The Lebanon district agreed that it should be shared. A poem written by Bro Wilmer Shenk was read (12) , and the district proposed calling a committee of outside bishops in. After discussion the decision was made to submit to the decision of the bishop board. The meeting held in the afternoon is referenced in the (90B6) April 9, 1990, and further decisions were made regarding the discipline enacted on Bro Stephen and the district. Also at that meeting, a letter from the Dohner ministry (13 4.6.90) was shared with the bishop board.

A private letter sent to Stephen at this time from an interested lay brother gives some perspectives into the conflict. (4.6.90 Dennis...) 

It was during this time that Bro Aaron wrote an appeal to the bishop board (2 4.9.90) that “we could experience a revival that would melt us and mold us together in the cause that we have paid a high price for in the past quarter of a century.”

There were questions being directed to the bishop board as to why this action was being taken. In a letter (15 4.11.90) Bro Alvin Snyder and Bro Aaron Shank exchange their views of why this action was taken and what repercussions might result.

The Lebanon district bishops shared a letter (14 4.15.90) with the district membership as an official voice that they had agreed to accept the discipline imposed on Bro Stephen and would not be reacting against it. However, the church still wished for an public explanation why the action was being taken as referred to in (90B7) a Bishop meeting held on April 30, 1990.

The Bishop meeting of (90B8) , held on May 23, 1990, records there was a statement of “summary of events” that was shared with the bishops. By this time the bishop board was being pressed by those who agreed with the discipline against Bro Stephen and those who disagreed for a statement explaining why the discipline was taken. We do not have a copy of this statement (written by Bro Jesse Neuenschwander) but we do have a personal letter that Bro Stephen wrote to him in response to the statement. This letter is (16 5.30.90) and addresses specific declarations made in the “statement”.

In the Bishop meeting of June 20, 1990, the matter still had not been resolved. (90B9) the brethren Alvin Snyder and Lynn Martin were appointed to prepare the statement. A brief document handwritten by Bro Alvin (17 6.90) is the forerunner of what was shared later. By this time, Bro Stephen himself was wondering what the EPMC really believed. He wrote a letter to give to the bishops regarding his questions. This letter (18 7.15.90) gives insights into the things he was being told in private meetings, especially by Bro Jesse Neuenschwander. (Much of the contents of the letter did get shared with the bishops in November and were answered in December (26 12.27.90) and (90B17) The letter itself records the intention that it may some day be shared publicly. The people of any church group deserve to know and understand what the church group underlying functions really are.

The brethren assigned to share “why the action” did share a statement in the (90B10) meeting held on July 19. The statements focused on beliefs about the church and are recorded in the (19a 7.19.90) document.

When the Lebanon district bishops received these statements they called for a district meeting to evaluate what had been shared. See (8.23.90) . The meeting addressed several areas where the district believed they had come under church-wide censure. It also adopted a statement that was shared that reveals a different doctrinal belief of the church than what the EPMC bishop board was proposing. Compare (19a 7.19.90) with (19b 8.23.90) (Note, two of the four statements in this document now appear in Forward of the Decrees of the PMC as of 2019).

Since the (8.23.90) minutes include an apology, the Lebanon District (southern part) received a formal acknowledgment of that apology. (Bishops accept 8.23.90)

The August 10 Bishop meeting (90B11) included nothing in it about the “Concern”, but the (90B12) refers to a document presented by Alvin Snyder and Lynn Martin. This was considered and looked at again in (90B13) and (90B14) and eventually became the “Bishop Statement for Unifying and Strengthening Our Position” (19c 11.8.90) .

In September of 1990, Stephen resumed his responsibilities in the district as had been decided, but the tension in the larger church body did not go away because the January date loomed in the future, and the larger church body was not at rest. The following are some documents that came to the fore in anticipation of that restoration.

  • (23 11.8.90 Jesse tries...) Jesse Neuenschwander endeavored to resolve the issue of transfers of members between districts.
  • (24 11.30.90) Deacons Eby Burkholder, Robert Shank and Raymond M Weaver endeavor to share their hearts on unresolved issues.
  • (22 12.19.90) Stephen answers questions the Bishops asked him to address.
  • (25 Jesse’s...) Jesse Neuenschwander outlines how the January 9, 1991 meeting could clear the way for an ongoing working relationship.

Bishop minutes (90B15,) and (90B16) mention the ongoing discussion. In (90B17) the bishops address a letter of questions that Stephen submitted to them. (26 12.27.90) gives Stephen’s original letter of questions and the responses. One can see what questions were deemed worthy of answer, and which ones were left unanswered. The year of 1990 closed with many questions still unanswered.

The date of January 9, 1991 was somewhat monumental. There was a bishop meeting that day, (91B1) and official announcements (27 1.9.91) and in Jesse’s handwriting (28 1.9.91) .

Stephen felt betrayed by some of the sentiments in the January 9 restoration. He shared these with the bishops in a private letter (29 1.29.91) . Brother Jesse responded to the letter with personal handwritten notes. These may be read in (29a 2.20.91 Jesse...) 

The sense of betrayal went far beyond just Stephen’s feelings. On February 12, the Lebanon district met to evaluate this church wide situation. Stephen addressed his district ministry in a letter. (30 2.12.91) Brother Aaron also wrote his assessment (a 13 page letter) of the situation and shared this in writing with the district (31 2.12.91) Part of the result of this meeting was a communication from the Lebanon district ministry to the bishop board (32 2.12.91) . Another part was a decision to take an abbreviated version of the Church groupings letter to all the membership for their evaluation. (33 2.12.91) . The district membership was given a questionnaire to help them decide which type of church they wished to be a part of. (33a 2.12.91)

As the word of Lebanon district’s disillusionment filtered out, Bro Jesse N also wrote a letter to assess the situation. (35 2.23.91) . This letter is alluded to in the bishop minutes of (91B2) . His sentiments were that perhaps the Lebanon district should just pull out and begin their own group. In a letter written on March 6, 1991 (35 3.6.91) reasons are given why the Lebanon district would not be pulling out to form their own group. This letter was shared at the (91B3) bishop meeting held on March 6, 1991. Two days later, Jesse shares his counsel regarding Lebanon district operating on a Group C platform (36 3.8.91 Jesse’s...) . Another response to the Groupings proposal came from the committee in which they brought condemnation on both the District’s position, and on the observations of both Aaron and Stephen (37 3.18.91 Committee’s...) 

What really ignited the reaction of the church was when one of the ministry from the northern part of Lebanon district took it on his own to send a copy of the districts letter to the bishops to all the ordained of the EPMC. A copy of that cover letter is (38 3.25.91 Ervin’s...) . Another letter of concern is from Bro Richard Mummau (39 4.15.91) 

The Spring conferring meeting was preceded by a bishop meeting (91B4) of which we have Stephen’s personal notes (40 4.9.91 Personal...) A new arrangement was worked out where Alvin S., Jesse N and Lynn Martin were invited to sit in on the Lebanon District meetings. This arrangement was accepted.

The next bishop meeting was held on May 1 (91B5) . Then the Lebanon bishops and those who were to work with them met on May 23. Some of Stephen’s personal notes give some insight into this meeting. (42 5.23.91 Notes...) Then there was the bishop meeting of May 30, (91B6) (partial) and personal notes (04 5.30.91 Personal...) and an unsent letter (41 5.23.91 unsent), , which are somewhat illegible. (91B7) continues to reflect somewhat of an impasse as different ideas were considered but (43 6.13.91 Notes...) Reveal behind the scenes discussions. (91B8) reveals some confusion (44 6.28.91 Notes...) offers some clarity as to what was in focus and a document entitled “An Effort to Understand our Present Need” (45 6.28.91 Effort) reveals the unsound thinking of Stephen. By July 1, 1991 Stephen returned with a letter to officially answer the questions he had been given on June 28. This letter is found in (46 7.1.91 Steve...) However in this meeting (91B9) the bishops moved forward to agree to require Bro Stephen to withdraw the influence of the Feb 12 letter, see notes (45a 7.1.91 Notes...) . Here was the line drawn in the sand. The Lebanon District had stated they would be staying with the EPMC, but would be operating on the basis of a “Group C” position. Now the bishop board was in essence saying this platform should be renounced.

In the next meeting, held only 2 days later on July 3 (91B10) a report was given that 5 of the ministry of the Lebanon District supported the bishops request in (91B9) #2 and that 15 had voted “no”. Also a letter was shared from the Lebanon bishops asking the request for other bishops to be involved be withdrawn (47 7.2.91 Leb dist...) In this meeting the bishops decided that Bro Stephen was not to meet with them until he is willing to give a favorable response (to withdrawing the influence of the Feb 12 letter.) On July 22, Jesse sent Stephen a personal note with advice for him (48 7.22.91 Lett...) There was another personal letter sent to Stephen. This one was from his very good friend and mentor, David Burkholder (49 7.31.91 Letter...) 

On July 26, 1991 (91B11) the bishops met without Stephen. One matter which was discussed was the mission board that the Lebanon District had organized. Another was a letter from the Lebanon bishops which presented three options that could be considered at that juncture (47a 7.25.91 Leb...) 

But personal letters go both ways. On August 8, Bro Aaron unburdened his heart to Bro Alvin Snyder. (50 8.6.91 Aaron...) 

Inasmuch as the bishop board was insisting that Stephen recall the influence of the Feb 12 letter, on August 9, 1991, Stephen sent a letter to the bishop board requesting clarification as to what that request meant. (51 8.9.91 What...) On August 14, the bishop committee met with Stephen at the Aaron Shank residence to answer that question. See the notes (51a 8.13.91 Notes...) for personal record of that meeting.

In a letter dated Sept 20, 1991 (52a 9.20.91) the Lebanon bishops press for clarity on ambiguous charges. In (54 7.26.91 Bishop...) There is a record prepared by the secretaries of the Bishop board of all the bishop minute resolutions up to July 26, 1991. The following is a brief summary of the bishop minutes from August 9 to

  • (91B12) August 9, 1991. In this meeting a number of letters were reviewed as follows. Wilbur Graybill, Stephen Ebersole, Ray Martin, Lester and Shirley Ebersole, Glen and Julia Harnish, Melvin and Gloria Herr, and Dale Martin. Also there was discussion about what to do since the Lebanon District ministry had not accepted the recommendation of the last bishop meeting.
  • (91B13) August 26, 1991. This is the meeting where the EPMC bishops agreed to “work out a separation in which the Brethren Aaron, Sidney and Stephen would provide leadership to those ordained men who support them.” Prior to this, reasons were spelled out what were the faults in Stephen’s life and thinking that led to this decision. In (52 8.26.91 EP bishops...) The Eastern Bishops write a letter to the Lebanon district ministry explaining why they have taken action for this division. In (53 8.29.91 Leb bishops...) The Lebanon district bishops invite all the ordained brethren for a day of prayer and fasting regarding developments which were headed toward division.
  • (91B14) September 4, 1991. A letter from the Lebanon District bishops which was a response to the bishops August 26 decision.
  • (91B15) September 11, 1991 the EPMC invited the Lebanon District bishops to sit in the meeting where they raised a number of questions about how the two groups would relate to commonly held positions and privileges. Since the district membership had expectations from this and other meetings the bishops made an announcement that there was nothing new to announce. (52b Special...).
  • (91B16) a hand written note (55 Jesse...) from this meeting explains that the division was not happening on the impulse of the Lebanon District bishops, but was the decision of the EPMC as an effort to resolve their problems. The bishop minutes make it very clear the initiative to leave was not being taken by the Lebanon bishops, but the responsibility for this was taken by the EPMC bishops. Record is also shared of the EPMC meeting with the Lebanon district ministry who chose to remain with the EPMC.
  • (91B17) September 25, 1991 are the last minutes the PMC was given by the EPMC bishop board. It reviews procedures and announcements that would naturally follow a separation or division in the church.

The document (56 9.25.91) records the official announcement of the EPMC to their conferring body, both of their decisions and the acceptance of the Lebanon District bishops to accept their decision and to form a new fellowship.

Bro Aaron shared his heart with a close friend after this date. (57 11.1.91) 

(58 11.0.91) is a scan of the ballot and letter for members of the Lebanon District with a list of the ministry who were taking lead in this new group, the Pilgrim Mennonite Conference.

Circumstances beyond human control kept the bishops from taking the vote of the Gray’s Prairie Congregation, so a letter was prepared. This is recorded in (59 12.2.91) .

Another letter which gives insights to the difficulties of the time and how things were worked out. (60 1.17.92 comments about the division) 

This ends the sad record of history that ends in formal division between the EPMC and its original Lebanon district, which in large part became part of the Pilgrim Mennonite Conference. Nothing has been intentionally omitted, and if there are more documents that surface, they will be included in this record.